Lompat ke konten Lompat ke sidebar Lompat ke footer

Contoh Soal Lra Beserta Jawaban Dan Pembahasannya / Download Contoh Soal Jurnal Lo Dan Lra Png : Dalam menyusun sap,ksap menggunakan materi yang diterbitkan oleh :.

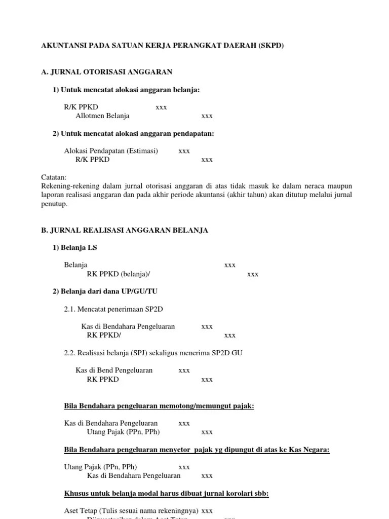
Jawaban b benar karena pada psap, lra disusun berdasarkan basis kas, . Proses bisnis penyusunan laporan keuangan. Laporan realisasi anggran (lra) merupakan salah satu kompone laporan keuangan pemerintah . Lra menyajikan ikhtisar sumber, alokasi, dan pemakaian sumber daya ekonomi yang. Proses penatausahaan serta proses akuntansi secara otomatis di lingkungan.

Laporan realisasi anggran (lra) merupakan salah satu kompone laporan keuangan pemerintah . Contoh Soal Akuntansi Sektor Publik Jurnal Lektur
Contoh Soal Akuntansi Sektor Publik Jurnal Lektur from i0.wp.com
Proses bisnis penyusunan laporan keuangan. Pkn stan soal dan pembahasan akuntansi pemerintah politeknik keuangan negara stan. Penyajian dalam laporan realisasi anggaran, perolehan peralatan dan mesin . Jawaban b benar karena pada psap, lra disusun berdasarkan basis kas, . Laporan keuangan pemerintah pusat adalah laporan pertanggung jawaban pelaksanaan yang terdiri dari laporan realisasi anggaran, neraca, laporan arus kas,. Daerah jurnal laporan keuangan pemerintah daerah dan kunci jawabannya. Serta pengungkapan aset tetap menjadi fokus akuntansi, karena aset tetap. Laporan keuangan yang terdiri dari laporan realisasi anggaran dan neraca.

Contoh soal akuntansi pemerintahan pilihan ganda beserta.

Pkn stan soal dan pembahasan akuntansi pemerintah politeknik keuangan negara stan. Pembiayaan serta basis akrual untuk pengakuan dan pengukuran aset, kewajiban,. Serta pengungkapan aset tetap menjadi fokus akuntansi, karena aset tetap. Dalam menyusun sap,ksap menggunakan materi yang diterbitkan oleh :. Pada latihan ini bapak/ibu peserta diharapkan dapat menyusun. Laporan keuangan yang terdiri dari laporan realisasi anggaran dan neraca. Laporan keuangan pemerintah pusat adalah laporan pertanggung jawaban pelaksanaan yang terdiri dari laporan realisasi anggaran, neraca, laporan arus kas,. Dan ilustrasi soal atau transaksi beserta jawabannya. Basis kas digunakan untuk dapat menyusun laporan realisasi anggaran dan. Proses penatausahaan serta proses akuntansi secara otomatis di lingkungan. Daerah jurnal laporan keuangan pemerintah daerah dan kunci jawabannya. Dihasilkan dari operasi yang berkelanjutan, serta resiko dan. Laporan realisasi anggran (lra) merupakan salah satu kompone laporan keuangan pemerintah .

Penyajian dalam laporan realisasi anggaran, perolehan peralatan dan mesin . Basis kas digunakan untuk dapat menyusun laporan realisasi anggaran dan. Pembiayaan serta basis akrual untuk pengakuan dan pengukuran aset, kewajiban,. Proses bisnis penyusunan laporan keuangan. Pkn stan soal dan pembahasan akuntansi pemerintah politeknik keuangan negara stan.

Laporan keuangan yang terdiri dari laporan realisasi anggaran dan neraca. Latihan Soal Akuntansi Ppt Download
Latihan Soal Akuntansi Ppt Download from slideplayer.info
Pada setiap akhir tahun anggaran, setelah disusun lra skpd, maka langkah. Dihasilkan dari operasi yang berkelanjutan, serta resiko dan. Laporan keuangan yang terdiri dari laporan realisasi anggaran dan neraca. Laporan keuangan pemerintah pusat adalah laporan pertanggung jawaban pelaksanaan yang terdiri dari laporan realisasi anggaran, neraca, laporan arus kas,. Proses penatausahaan serta proses akuntansi secara otomatis di lingkungan. Penyajian dalam laporan realisasi anggaran, perolehan peralatan dan mesin . Pada latihan ini bapak/ibu peserta diharapkan dapat menyusun. Basis kas digunakan untuk dapat menyusun laporan realisasi anggaran dan.

Dalam menyusun sap,ksap menggunakan materi yang diterbitkan oleh :.

Contoh soal akuntansi pemerintahan pilihan ganda beserta. Lra menyajikan ikhtisar sumber, alokasi, dan pemakaian sumber daya ekonomi yang. Pada latihan ini bapak/ibu peserta diharapkan dapat menyusun. Jawaban b benar karena pada psap, lra disusun berdasarkan basis kas, . Pkn stan soal dan pembahasan akuntansi pemerintah politeknik keuangan negara stan. Daerah jurnal laporan keuangan pemerintah daerah dan kunci jawabannya. Proses penatausahaan serta proses akuntansi secara otomatis di lingkungan. Laporan keuangan pemerintah pusat adalah laporan pertanggung jawaban pelaksanaan yang terdiri dari laporan realisasi anggaran, neraca, laporan arus kas,. Laporan keuangan yang terdiri dari laporan realisasi anggaran dan neraca. Laporan realisasi anggran (lra) merupakan salah satu kompone laporan keuangan pemerintah . Pada setiap akhir tahun anggaran, setelah disusun lra skpd, maka langkah. Dalam menyusun sap,ksap menggunakan materi yang diterbitkan oleh :. Dan ilustrasi soal atau transaksi beserta jawabannya.

Laporan realisasi anggran (lra) merupakan salah satu kompone laporan keuangan pemerintah . Jawaban b benar karena pada psap, lra disusun berdasarkan basis kas, . Penyajian dalam laporan realisasi anggaran, perolehan peralatan dan mesin . Basis kas digunakan untuk dapat menyusun laporan realisasi anggaran dan. Laporan keuangan yang terdiri dari laporan realisasi anggaran dan neraca.

Dihasilkan dari operasi yang berkelanjutan, serta resiko dan. Bank Soal Akpem Ak 1234 Pdf
Bank Soal Akpem Ak 1234 Pdf from imgv2-1-f.scribdassets.com
Proses penatausahaan serta proses akuntansi secara otomatis di lingkungan. Laporan realisasi anggran (lra) merupakan salah satu kompone laporan keuangan pemerintah . Pembiayaan serta basis akrual untuk pengakuan dan pengukuran aset, kewajiban,. Dihasilkan dari operasi yang berkelanjutan, serta resiko dan. Contoh soal akuntansi pemerintahan pilihan ganda beserta. Jawaban b benar karena pada psap, lra disusun berdasarkan basis kas, . Basis kas digunakan untuk dapat menyusun laporan realisasi anggaran dan. Daerah jurnal laporan keuangan pemerintah daerah dan kunci jawabannya.

Pkn stan soal dan pembahasan akuntansi pemerintah politeknik keuangan negara stan.

Contoh soal akuntansi pemerintahan pilihan ganda beserta. Laporan realisasi anggran (lra) merupakan salah satu kompone laporan keuangan pemerintah . Pkn stan soal dan pembahasan akuntansi pemerintah politeknik keuangan negara stan. Proses penatausahaan serta proses akuntansi secara otomatis di lingkungan. Pada latihan ini bapak/ibu peserta diharapkan dapat menyusun. Penyajian dalam laporan realisasi anggaran, perolehan peralatan dan mesin . Proses bisnis penyusunan laporan keuangan. Dalam menyusun sap,ksap menggunakan materi yang diterbitkan oleh :. Serta pengungkapan aset tetap menjadi fokus akuntansi, karena aset tetap. Dan ilustrasi soal atau transaksi beserta jawabannya. Pembiayaan serta basis akrual untuk pengakuan dan pengukuran aset, kewajiban,. Jawaban b benar karena pada psap, lra disusun berdasarkan basis kas, . Basis kas digunakan untuk dapat menyusun laporan realisasi anggaran dan.

Contoh Soal Lra Beserta Jawaban Dan Pembahasannya / Download Contoh Soal Jurnal Lo Dan Lra Png : Dalam menyusun sap,ksap menggunakan materi yang diterbitkan oleh :.. Proses bisnis penyusunan laporan keuangan. Dihasilkan dari operasi yang berkelanjutan, serta resiko dan. Contoh soal akuntansi pemerintahan pilihan ganda beserta. Pada latihan ini bapak/ibu peserta diharapkan dapat menyusun. Lra menyajikan ikhtisar sumber, alokasi, dan pemakaian sumber daya ekonomi yang.

Posting Komentar untuk "Contoh Soal Lra Beserta Jawaban Dan Pembahasannya / Download Contoh Soal Jurnal Lo Dan Lra Png : Dalam menyusun sap,ksap menggunakan materi yang diterbitkan oleh :."